SACOMARCIENCIAS Saber+ = Servir Mejor

para ayudarte al estudio de las ciencias y las matemáticas...

sábado, 4 de febrero de 2023

REPASO TEMA 6 ECUACIONES 2º ESO CURSO 2022 23


ECUACIONES DE PRIMER GRADO

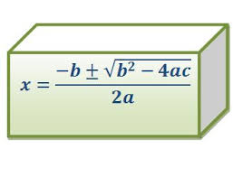
ECUACIONES DE SEGUNDO GRADO

PROBLEMAS CON ECUACIONES
Resultado de imagen de ECUACIONES


SOLUCIONES DE LAS FICHAS

Publicado por BEATRIZ ALONSO en 9:00
Enviar por correo electrónicoEscribe un blogCompartir en XCompartir con FacebookCompartir en Pinterest
Etiquetas: 2ºESO, matemáticas
Entrada más reciente Entrada antigua Inicio

Por si no encuentras lo que buscas...

Colegio Sagrado Corazón de Maracena

Colegio Sagrado Corazón de Maracena

Temas

  • 1º eso (71)
  • 2º PCPI (3)
  • 2ºESO (52)
  • 3º ESO (49)
  • 4º ESO (36)
  • Biología y Geología (11)
  • ciencias naturales (18)
  • excel (1)
  • Experimentos caseros (5)
  • Física y Química (13)
  • matemáticas (145)
  • MATEMÁTICAS APLICADAS (9)
  • pendientes (7)
  • Tecnología (9)

Enlaces interesantes

  • Juegos de todas las asignaturas por cursos
  • Actividades online de matemáticas
  • Actividades y teoría de matemáticas

Nautilus y la espiral logarítmica

Nautilus y la espiral logarítmica
Unión de naturaleza y matemáticas

Asociación Madre Tierra

Asociación Madre Tierra
¡Únete a nuestra asociación!

Páginas

  • Página principal
  • 1º ESO
  • Ciencias Naturales
  • Asociación Madre Tierra

Publicaciones por fechas

  • ►  2026 (1)
    • ►  enero (1)
  • ►  2025 (6)
    • ►  octubre (1)
    • ►  mayo (1)
    • ►  abril (1)
    • ►  marzo (1)
    • ►  febrero (1)
    • ►  enero (1)
  • ►  2024 (19)
    • ►  diciembre (1)
    • ►  noviembre (1)
    • ►  octubre (3)
    • ►  mayo (4)
    • ►  abril (2)
    • ►  marzo (2)
    • ►  febrero (4)
    • ►  enero (2)
  • ▼  2023 (18)
    • ►  diciembre (2)
    • ►  noviembre (2)
    • ►  octubre (4)
    • ►  mayo (4)
    • ►  abril (1)
    • ►  marzo (1)
    • ▼  febrero (2)
      • REPASO TEMA 7 SISTEMAS DE ECUACIONES 2º ESO CURSO...
      • REPASO TEMA 6 ECUACIONES 2º ESO CURSO 2022 23
    • ►  enero (2)
  • ►  2022 (6)
    • ►  diciembre (1)
    • ►  noviembre (1)
    • ►  octubre (2)
    • ►  abril (1)
    • ►  marzo (1)
  • ►  2021 (6)
    • ►  diciembre (1)
    • ►  mayo (1)
    • ►  marzo (1)
    • ►  febrero (3)
  • ►  2020 (13)
    • ►  noviembre (2)
    • ►  octubre (3)
    • ►  julio (1)
    • ►  mayo (1)
    • ►  abril (1)
    • ►  marzo (2)
    • ►  febrero (2)
    • ►  enero (1)
  • ►  2019 (15)
    • ►  noviembre (2)
    • ►  septiembre (1)
    • ►  junio (2)
    • ►  mayo (3)
    • ►  abril (1)
    • ►  marzo (1)
    • ►  febrero (4)
    • ►  enero (1)
  • ►  2018 (32)
    • ►  diciembre (2)
    • ►  noviembre (4)
    • ►  octubre (4)
    • ►  junio (3)
    • ►  mayo (4)
    • ►  abril (4)
    • ►  marzo (4)
    • ►  febrero (3)
    • ►  enero (4)
  • ►  2017 (33)
    • ►  diciembre (1)
    • ►  noviembre (7)
    • ►  octubre (4)
    • ►  junio (4)
    • ►  mayo (2)
    • ►  abril (3)
    • ►  marzo (7)
    • ►  febrero (2)
    • ►  enero (3)
  • ►  2016 (21)
    • ►  diciembre (5)
    • ►  noviembre (3)
    • ►  octubre (1)
    • ►  junio (3)
    • ►  mayo (2)
    • ►  abril (1)
    • ►  marzo (1)
    • ►  febrero (1)
    • ►  enero (4)
  • ►  2015 (20)
    • ►  diciembre (1)
    • ►  noviembre (4)
    • ►  octubre (5)
    • ►  junio (1)
    • ►  mayo (1)
    • ►  abril (3)
    • ►  marzo (2)
    • ►  febrero (1)
    • ►  enero (2)
  • ►  2014 (15)
    • ►  diciembre (4)
    • ►  noviembre (1)
    • ►  octubre (1)
    • ►  junio (1)
    • ►  abril (1)
    • ►  febrero (4)
    • ►  enero (3)
  • ►  2013 (13)
    • ►  diciembre (1)
    • ►  noviembre (6)
    • ►  octubre (3)
    • ►  septiembre (3)
  • ►  2012 (2)
    • ►  octubre (1)
    • ►  septiembre (1)

Seguidores

Tema Picture Window. Imágenes del tema: enot-poloskun. Con la tecnología de Blogger.